조상환
(Sanghwan Cho)
1iD
김민욱
(Min Ook Kim)
2*iD
-
서울과학기술대학교 건설시스템공학과 대학원생
(Graduate Student, Department of Civil Engineering, Seoul National University of Science
and Technology, Seoul 01811, Rep. of Korea)
-
서울과학기술대학교 건설시스템공학과 부교수
(Associate Professor, Department of Civil Engineering, Seoul National University of
Science and Technology, Seoul 01811, Rep. of Korea)
Copyright © 2026 Korea Concrete Institute(KCI)
핵심용어
가속 탄산화, 강도 예측, 트리 기반 알고리즘, SHAP 분석
Keywords
accelerated carbonation, strength prediction, tree-based algorithms, SHAP analysis
1. 서 론
건설 산업은 탄소 다배출 산업군으로 지목되고 있으며 특히 시멘트 산업은 단일 산업군 중 가장 큰 탄소 배출원 중 하나로 평가되고 있다(Benhelal et al. 2013). 포틀랜드 시멘트 제조 과정에서는 석회석의 탈탄산 반응과 연료 연소에 의해 시멘트 1톤당 약 0.8~0.9톤의 CO2가 배출되는 것으로 보고된 바 있으며, 이로 인해 시멘트 산업은 전 세계 CO2 배출량의 약 5~8 %를 차지하는 것으로 알려져 있다(Worrell et al. 2001). 이러한 배경 하 최근 시멘트계 재료의 제조 및 양생 단계에서 탄소 배출을 저감하는 접근을 넘어 CO2를 재료 내부에 적극적으로 활용・고정화하는 기술에 대한 관심이 지속적으로 증가하고 있는 상황이다(Cho et al. 2025). CCU(carbon capture and utilization) 기술 중 가속 탄산화양생(이하, CO2 양생)은 시멘트 복합재료 내부로 CO2를 확산・반응시켜 탄산화 생성물(CaCO3 등)을 형성함으로써, 초기 강도 발현 촉진과 공극 구조 치밀화를 동시에 유도할 수 있는 기술로 최근 다수의 기작 규명 및 활용 연구가 수행된 바
있다(Guo et al. 2023; Jeon and Kim 2025; Liu et al. 2025; Nam et al. 2025). Wang et al.(2019)은 가속 CO2 양생을 적용한 시멘트 페이스트가 4시간의 탄산화 양생만으로도 기존 습윤 양생을 적용한 시편의 3일 및 7일 압축강도를 상회하는 수준의 강도 발현을
나타낸다고 보고한 바 있다. 이는 C3S 및 C2S의 탄산화 반응에 의해 CaCO3가 형성되고, 이에 따라 직경 200 nm 이상의 대공극이 약 84 % 이상 감소하면서 미세구조가 급격히 치밀화된 결과로 해석할 수 있다. 열중량
분석(TG)을 통해 표면 탄산화 영역(0~6 mm)에서 CaCO3 함량이 약 16.7 wt% 수준까지 증가함이 확인되어 CO2 양생이 기계적 성능 향상과 동시에 CO2 고정 효과를 유도함을 실험적으로 입증한 바 있다. 이러한 특성에 기반해 해당 공정은 기계적 성능 향상과 탄소 저감을 동시에 달성할 수 있는 공정으로
인식되고 있다. 그러나 해당 공정을 통한 탄산화 양생 시 시멘트 복합재료의 압축강도 발현 거동은 CO2 농도, 양생 시간, 챔버압력, 상대습도, 온도 등과 같은 양생 조건뿐만 아니라 물-결합재비, 골재-결합재비, SCM 치환율 등 재료적 변수의 영향을
복합적으로 받는다(Chu et al. 2025). 이러한 변수들은 독립적으로 작용하기보다 상호 연계된 비선형 상호작용을 통해 강도 발현 기작에 영향을 미치며, 특정 조건에서는 CO2 확산 제한, 과도한 표면 탄산화 등으로 인해 강도 증가 효과가 오히려 저하되는 현상도 보고된 바 있다(Singh et al. 2025). 관련하여 기존 연구의 상당수는 단일 변수 또는 제한된 변수 조합을 중심으로 한 실험적 분석에 의존하고 있어, 다양한 CO2 양생 조건과 재료 변수를 동시에 고려한 정량적 강도 예측에는 본질적인 한계를 지닌다. 이에 대한 대안으로 최근 재료공학 분야에서는 머신러닝(machine
learning) 기법이 도입되고 있으며, 특히 Random Forest 및 Gradient Boosting 계열로 대표되는 트리 기반 머신러닝 알고리즘은
입력 변수 간의 비선형 관계와 고차 상호작용을 효과적으로 학습할 수 있어 예측 정확도를 유의하게 향상시킨 연구가 진행된 바 있다(Kang et al. 2021). 이러한 장점에 기인하여 시멘트 및 콘크리트 분야에서도 압축강도, 내구성 지표 예측 및 배합 설계 최적화를 위한 트리 기반 모델의 활용이 점차 확대되고
있다(Peng and Unluer 2022; Lee et al. 2024; Kim and Lee 2025). 다만, CO2 양생 시멘트 복합체를 대상으로 다수의 양생 및 재료 변수를 동시에 고려한 체계적인 예측 모델을 개발・구축하고 그 결과를 정량적으로 해석한 연구는
아직 제한적인 수준에 머물러 있다. 더하여, 머신러닝 모델은 높은 예측 성능에도 불구하고 내부 의사결정 과정이 불투명하다는 한계를 지니며 이를 보완하기
위해 최근에는 SHAP(SHapley Additive exPlanations)과 같은 설명 가능 인공지능 기법이 활용되고 있다(Ekanayake et al. 2022). SHAP 분석은 각 입력 변수가 예측 결과에 미치는 상대적 기여도와 영향 방향을 수치적으로 제시할 수 있어, 예측 성능 확보와 더불어 공정 조건
및 재료 변수의 물리적 의미를 해석하는 데 유용하다.
이에 본 연구에서는 CO2 양생 시멘트 복합체를 대상으로, 다양한 양생 조건과 배합 변수를 동시에 고려한 관련 선행문헌에서 추출한 데이터셋을 구축하고 트리 기반 머신러닝 알고리즘을
적용하여 압축강도 예측 모델을 개발하였다. 또한 여러 트리 기반 알고리즘의 예측 성능을 비교・평가하고, SHAP 기반 민감도 분석을 통해 각 양생
및 재료 변수가 압축강도 발현에 미치는 상대적 중요도와 영향 특성을 정량적으로 분석하였다.
2. 연구방법
본 연구의 전체적인 연구 방법론과 분석 절차는 Fig. 1에 개략적으로 도식하였다. 연구는 데이터 수집 및 구성, 입력 변수 선정 및 전처리, 통계적 분석, 트리 기반 머신러닝 모델 학습 및 검증의 단계로
구성되며, 각 단계는 상호 유기적으로 연결되어 CO2 양생 시멘트 복합체의 압축강도 예측 및 민감도 분석을 수행하도록 설계되었다.
Fig. 1 Workflow of literature-based data construction, machine learning modeling,
and SHAP-based sensitivity analysis for predicting compressive strength of CO2-cured cementitious composites
2.1 데이터 수집 및 구성
본 연구에서는 CO2 양생 시멘트 복합체의 압축강도 예측 모델 구축을 위해 기존 23개의 선행문헌에 보고된 333개의 실험 결과를 체계적으로 수집하여 데이터셋을 구성하였다(Zhang and Shao 2016; Ahmad et al. 2017; Hussain et al. 2017; Chen and Gao 2019; Qin et al. 2019; Wang et al. 2019; Zhan et al. 2019; Li and Ling 2020; Chen and Gao 2020; Song et al. 2021; Chen et al. 2021; Gupta et al. 2021; Yang and Wang 2021; Lu et al. 2022; Sharma and Goyal 2022; Ba et al. 2023; Jiang et al. 2023; Yan et al. 2023; Guleria et al. 2024; He et al. 2024; Padmalal et al. 2024; Saikia and Rajput 2024; Wang et al. 2025). 수집된 데이터는 서로 다른 연구에서 수행된 CO2 양생 실험을 포함하고 있으며, 실제 CO2 양생 공정에서 관측되는 조건 범위를 최대한 포괄할 수 있도록 정리하였다.
본 연구에서 구축한 데이터셋은 압축강도(compressive strength, MPa)를 출력 변수로 하며, 입력 변수는 총 11개의 피처로 결합재
조성, 배합 설계, CO2 양생 조건, 환경 및 재령 조건을 대표하는 다수의 연속형 변수로 구성된다. 입력 및 출력 변수의 상세 항목과 단위, 범위는 Table 1에 기술하였다. 또한 데이터셋의 대표성과 신뢰성을 확보하기 위해 각 변수에 대해 데이터 개수, 최소값, 최대값, 평균값 및 표준편차를 산정하여 분포
특성을 검토하였다. 이러한 통계적 요약 결과는 Table 2에 제시하였으며, 이를 통해 특정 조건이나 범위에 데이터가 과도하게 편중되지 않았음을 확인하였다. 이러한 검토 과정은 머신러닝 모델 학습 시 발생할
수 있는 데이터 편향을 최소화하고, 예측 결과의 신뢰성과 일반화 성능을 확보하기 위한 목적으로 수행되었다.
Table 1 Summary of input and output variables used for machine-learning modeling
|
Category
|
Variable
|
Symbol
|
Unit
|
|
Binder composition
|
Cement content
|
C
|
%
|
|
Fly ash content
|
FA
|
%
|
|
Mix proportion
|
Water-to-binder ratio
|
W/B
|
-
|
|
Coarse aggregate-to-binder ratio
|
CA/B
|
-
|
|
Fine aggregate-to-binder ratio
|
FAgg/B
|
-
|
|
CO2 curing conditions
|
CO2 curing duration
|
t(CO2)
|
h
|
|
CO2 concentration
|
C(CO2)
|
%
|
|
CO2 pressure
|
P(CO2)
|
MPa
|
|
Environmental conditions
|
Curing temperature
|
T
|
°C
|
|
Relative humidity
|
RH
|
%
|
|
Age parameter
|
Curing age
|
Age
|
days
|
|
Output variable
|
Compressive strength
|
fc
|
MPa
|
Table 2 Statistical summary of the literature-based dataset used in this study
|
Variable
|
Min
|
Max
|
Mean
|
Std.
|
|
C
|
0.50
|
1.00
|
0.957
|
0.102
|
|
FA
|
0
|
0.50
|
0.043
|
0.102
|
|
W/B
|
0.15
|
0.65
|
0.392
|
0.135
|
|
CA/B
|
0
|
7.62
|
1.58
|
2.01
|
|
FAgg/B
|
0
|
3.87
|
1.30
|
1.00
|
|
t (CO2)
|
0
|
8760
|
607.7
|
1764.1
|
|
C (CO2)
|
0.04
|
99.9
|
29.72
|
33.83
|
|
P (CO2)
|
0.068
|
0.50
|
0.153
|
0.10
|
|
T
|
1
|
60
|
24.18
|
9.77
|
|
RH
|
50.0
|
80.25
|
63.12
|
7.82
|
|
Age
|
0.04
|
365
|
35.32
|
79.24
|
|
fc
|
1.10
|
81.89
|
32.50
|
16.44
|
2.2 입력 변수 선정 및 전처리
입력 변수는 CO2 양생 공정에서 시멘트 복합체의 압축강도 발현에 영향을 미치는 주요 요인을 중심으로 문헌 검토를 통해 선정하였다. 변수 선정 과정에서는 단순한 통계적
상관성에 근거하기보다 CO2 확산 거동, 탄산화 반응 메커니즘, 그리고 이에 따른 공극 구조 변화 등 기존 연구에서 제시된 물리적・재료적 기작을 우선적으로 고려하였다. 이를
통해 머신러닝 모델의 예측 성능뿐만 아니라 이후 파라미터의 민감도 분석 결과 해석 가능성을 확보하고자 하였다. Table 1에 제시된 양생 온도(T) 및 상대습도(RH)는 일반 양생 조건이 아닌, CO2 양생 단계에서 적용된 조건을 기준으로 정리한 변수이다. 본 연구에서는 CO2 양생 중 온・습도가 탄산화 반응 및 압축강도 발현에 미치는 영향을 고려하여 이를 입력 변수로 포함하였다. 다만 문헌마다 사전 일반 양생(pre-curing)
유무, 기간 및 조건이 상이하게 보고되어 이를 독립적인 변수로 일관되게 정의하는 데 한계가 있었으며, 해당 조건을 명시적으로 포함하지 못한 점은 문헌
기반 분석의 한계로 남긴다. 문헌 기반 데이터의 특성상 단위시멘트량(kg/m3)이 일관되게 보고되지 않는 경우가 많아, 본 연구에서는 문헌 간 비교가 가능한 배합 비율 변수(W/B, CA/B, FAgg/B)를 입력 변수로 사용하였다.
해당 변수들은 결합재 대비 골재량과 골재 구성을 반영하며, 일반적으로 사용되는 잔골재율(S/a)과도 해석적으로 연계될 수 있다. 다만 문헌 데이터에서
골재의 밀도 및 체적 정보가 일관되게 보고되지 않는 한계로 인해, 본 연구에서는 골재–결합재 비율을 질량 기준으로 정의하였다. CO2 확산 거동 및 공극 구조 형성 관점에서는 부피 기반 지표가 보다 직접적인 물리적 해석을 제공할 수 있으나, 이를 적용하지 못한 점은 본 연구의 한계로
명시한다. 본 연구의 입력 변수 범위는 국내 산업 처방 범위를 대표하기보다, 가속 탄산화 조건에서 보고된 선행문헌의 실험 범위를 포괄적으로 반영하여
설정하였으며 산업 적용 관점에서는 통상적인 플라이애시 치환율 범위에서의 해석이 바람직하다. 고Ca계 SCM(고로/제강 슬래그)은 촉진 탄산화에 유효할
수 있으나, 문헌 데이터에서 슬래그 관련 정보의 불일치로 결측이 크게 증가하는 문제를 고려하여 본 연구에서는 플라이애시 변수를 중심으로 모델을 구성하였고,
슬래그를 포함한 확장 모델은 향후 연구로 다룰 예정이다.
서로 다른 선행연구로부터 수집된 데이터를 통합함에 따라, 데이터의 스케일 차이와 이질성이 존재할 수 있으므로 데이터 전처리 과정을 수행하였다. 우선
입력 변수별로 결측치 존재 여부를 확인하였으며, 결측값은 데이터셋에 포함된 상태로 유지하여 모델 학습에 활용하였다. 이는 트리 기반 머신러닝 알고리즘이
분할 과정에서 결측값을 독립적인 분기 조건으로 처리할 수 있어, 결측치 보간 또는 제거에 따른 정보 손실을 최소화할 수 있기 때문이다. 또한 입력
변수의 분포 특성을 검토하기 위해 사분위수 범위를 기반으로 이상치 분포를 확인하였다. 일부 변수에서 사분위수 기준을 초과하는 값이 식별하였으나, 서로
다른 실험 조건과 양생 환경을 반영한 결과로 판단하여 이상치를 인위적으로 제거하지 않고 원 데이터 상태를 유지하였다. 데이터의 일관성을 확보하고 모델
학습의 안정성을 향상시키기 위해, 모든 연속형 입력 변수에 대해 정규화 또는 표준화와 같은 스케일링 처리를 적용하였다. 이와 같은 입력 변수 선정
및 데이터 전처리 전략을 통해, 데이터의 물리적 의미와 실험적 다양성을 유지하면서도 머신러닝 모델 학습에 적합한 형태로 데이터셋을 구축하였다.
2.3 통계적 분석 기법
머신러닝 알고리즘 모델 학습에 앞서, 데이터셋의 기초적인 특성과 입력 변수 간 관계를 파악하기 위해 기초 통계 분석 및 상관성 분석을 수행하였다.
각 입력 변수에 대해 평균값, 표준편차, 최소값 및 최대값을 산정하여 데이터의 분포 특성과 범위를 검토하였다. 이러한 분석을 통해 변수별 스케일 차이와
데이터 분포의 비대칭성 여부를 사전에 확인하였다. 입력 변수 간 선형 상관성을 정량적으로 평가하기 위해 피어슨 상관계수(pearson’s correlation
coefficient)를 계산하였으며 이를 직관적으로 파악하기 위해 상관관계 히트맵(correlation heatmap)으로 시각화하였다. 해당 분석은
변수 간 선형적 상관성의 정도와 방향성을 파악하고, 잠재적인 다중공선성 존재 가능성을 사전에 검토하기 위한 목적으로 수행되었다.
2.4 모델 학습 및 검증 전략
압축강도 예측을 위해 Random Forest와 Gradient Boosting 계열을 포함한 4종의 트리 기반 머신러닝 알고리즘을 적용하였다. 문헌
기반으로 구축된 데이터셋의 특성상 특정 연구에 기인한 데이터 편중 가능성을 최소화하기 위해, 전체 데이터셋은 무작위 방식으로 학습용 데이터(80 %)와
시험용 데이터(20 %)로 분할하였다. 모델의 일반화 성능과 과적합 여부를 평가하기 위해 학습 데이터에 대해 k-겹 교차검증(k-fold cross-validation)을
적용하였으며, 본 연구에서는 k=5로 설정하였다. 이러한 검증 전략을 통해 제한된 데이터 환경에서도 모델이 특정 데이터 부분집합에 과도하게 적합되는
현상을 완화하고, 안정적인 예측 성능을 확보할 수 있도록 하였다. 머신러닝 모델의 예측 성능 평가는 결정계수(R2), 평균제곱근오차(RMSE), 평균절대오차(MAE)를 지표로 통상적으로 선행문헌에서 활용하는 지표를 사용하였다(Rathnayaka et al. 2024). 각 성능 지표는 식 (1)~(3) 같이 정의된다.
여기서, $y_{i}$는 실험에서 측정된 실제 압축강도 값, $\hat{y}_{i}$는 머신러닝 모델이 예측한 압축강도 값, $\bar{y}$는 실제
압축강도의 평균값, 그리고 $n$은 전체 데이터 개수를 의미한다. 결정계수($R^{2}$)는 모델이 실제 데이터의 분산을 얼마나 효과적으로 설명하는지를
나타내는 지표이며, RMSE와 MAE는 각각 제곱 오차와 절대 오차 관점에서도 예측 오차의 크기를 평가한다. 본 연구에서는 단일 성능 지표에 의존하지
않고, 여러 평가 지표를 종합적으로 고려하여 각 머신러닝 모델의 예측 정확도와 오차 특성을 비교・분석하였다. 가장 우수한 예측 성능을 보인 모델 1종을
중심으로 SHAP 기반 민감도 분석을 수행하여 변수별 영향 특성을 해석하였다.
3. 머신러닝 알고리즘
본 연구에서는 CO2 양생 시멘트 복합체의 압축강도 발현 거동을 예측하기 위해 Table 3에 기술된 바와 같이 비선형 관계와 변수 간 상호작용을 효과적으로 학습할 수 있는 트리 기반 머신러닝 알고리즘을 적용하였다. CO2 양생 공정은 양생 조건과 배합 변수의 복합적 작용에 의해 강도 발현 거동이 결정되므로 선형 회귀 기반 모델보다는 비선형성과 고차 상호작용을 고려할
수 있는 알고리즘이 적합하다고 판단하였다. 이에 본 연구에서는 Random Forest와 Gradient Boosting 계열 알고리즘을 중심으로
예측 모델을 구축, 각 모델의 성능을 비교・분석하였다. 본 절에서는 적용된 머신러닝 알고리즘의 기본 개념과 학습 특성을 기술한다.
Table 3 Overview of the tree-based machine learning algorithms applied in this study
|
Algorithm
|
Ensemble strategy
|
Key learning mechanism
|
|
Random Forest
|
Bagging
|
Parallel training of multiple decision trees using bootstrap samples
|
|
XGBoost
|
Gradient boosting
|
Sequential tree learning with gradient-based optimization and regularization
|
|
LightGBM
|
Histogram-based splitting and leaf-wise tree growth
|
|
CatBoost
|
Ordered boosting with target statistics to reduce prediction bias
|
3.1 Random Forest
Random Forest(RF)는 다수의 결정트리를 앙상블(ensemble) 방식으로 결합한 대표적인 트리 기반 머신러닝 알고리즘이다. 각 결정트리는
서로 다른 학습 데이터 샘플과 입력 변수의 부분집합을 사용하여 독립적으로 학습되며, 최종 예측값은 개별 트리 예측 결과의 평균값으로 산정된다. 이와
같은 구조를 통해 Random Forest는 단일 결정트리에서 발생하기 쉬운 과적합을 효과적으로 완화할 수 있으며, 입력 변수 간 비선형 관계와 상호작용을
안정적으로 학습할 수 있다는 장점을 가진다. 또한 데이터 분포의 비대칭성이나 이상치에 대해 상대적으로 강건한 특성을 나타내어, 서로 다른 문헌에서
수집된 이질적인 실험 데이터를 포함하는 본 연구의 데이터셋에 적합한 알고리즘으로 판단하였다.
3.2 Gradient Boosting 계열 알고리즘
Gradient Boosting(GB)은 이전 단계에서의 예측 오차를 보완하도록 결정트리를 순차적으로 학습시키는 부스팅 기반 앙상블 기법이다. 각
단계에서 새롭게 생성되는 트리는 이전 모델이 잘 예측하지 못한 데이터에 가중치를 두어 학습되며, 이를 반복함으로써 점진적으로 예측 성능을 향상시킨다.
본 연구에서는 GB 계열 알고리즘이 CO2 양생 조건과 배합 변수 간의 복잡한 비선형 관계를 보다 정밀하게 학습할 수 있을 것으로 판단하여 본 연구에 적용하였다. 특히 부스팅 기반 모델은
상대적으로 적은 데이터셋에서도 높은 예측 성능을 확보할 수 있어, 문헌 기반 데이터로 구성된 본 연구의 데이터셋에 적합한 접근법으로 판단하였다.
3.3 SHAP 알고리즘
트리 기반 머신러닝 알고리즘은 높은 예측 성능을 제공하는 반면, 모델 내부의 의사결정 과정이 직관적으로 해석되기 어렵다는 한계를 지닌다. 이러한 문제를
보완하기 위해 본 연구에서는 SHAP(SHapley Additive exPlanations) 기법을 적용하여 머신러닝 모델의 예측 결과를 해석하였다.
SHAP은 협력 게임 이론(cooperative game theory)에 기반한 설명 가능 인공지능 기법으로 각 입력 변수가 예측 결과에 기여하는
정도를 Shapley value 형태로 정량화한다. SHAP 값은 특정 변수의 기여도를 모든 변수 조합에 대해 공정하게 분배함으로써 산정되며 각 예측값은
기준값(base value)과 개별 변수의 SHAP 값의 합으로 표현될 수 있다. 이를 통해 개별 변수의 상대적 중요도뿐만 아니라, 예측 결과에 미치는
영향 방향(증가 또는 감소)을 동시에 해석할 수 있다. 특히 SHAP은 트리 기반 모델에 대해 계산 효율이 최적화된 TreeSHAP 알고리즘을 제공하므로,
Random Forest 및 Gradient Boosting 계열 모델에 적용하기에 적합하다. SHAP 분석을 통해 전체 데이터셋 수준에서의 변수
중요도와 개별 샘플 수준에서의 예측 기여도를 동시에 평가할 수 있으며, 이는 단순한 변수 중요도 지표를 넘어 모델의 의사결정 구조를 체계적으로 이해하는
데 기여한다. 이에 본 연구에서는 SHAP 요약 플롯과 변수별 SHAP 분포를 활용하여 CO2 양생 공정에서 압축강도 발현을 지배하는 핵심 요인을 도출하고자 하였다.
4. 데이터 특성 분석
본 절에서는 머신러닝 모델 학습에 앞서 데이터셋의 구조적 특성과 입력 변수와 압축강도 간의 관계를 정량적으로 분석하였다. 이를 위해 피어슨 상관계수
기반 히트맵(Fig. 2)과 변수별 산점도(Fig. 3)를 활용하여 선형 상관성 및 분포 특성을 검토하였다. 해당 분석은 모델 선택의 타당성을 확보함과 동시에 이후 SHAP 기반 해석 결과를 논리적으로
뒷받침하기 위한 기초 분석 단계로 수행되었다.
4.1 상관계수 분석
Fig. 2에 도식된 바와 같이, 압축강도는 대부분의 입력 변수와 약한 선형 상관관계(|r|<0.30)를 나타냈다. 이는 본 연구에서 고려한 가속 CO2 양생 조건하에서 압축강도 발현이 단일 변수에 의해 선형적으로 지배되기보다, 여러 변수의 복합적・비선형적 상호작용에 의해 결정됨을 시사한다. 예로
물–결합재비(W/B)는 압축강도와 –0.27의 음의 상관관계를 도출하여 시멘트계 재료에서 보고되는 일반적인 경향과 방향성은 일치하였으나, CO2 확산 및 탄산화 반응이 병행되는 시스템 특성상 단일 변수 기준의 선형 상관계수에서는 그 영향이 상대적으로 약하게 나타난 것으로 해석된다. CO2 농도는 압축강도와 0.21의 약한 양의 상관성을 보였으며, CO2 양생 시간과는 0.04로 거의 무상관에 가까운 값을 나타냈다. 이는 CO2 양생 효과가 특정 변수 하나에 의해 선형적으로 증가하기보다는, 양생 시간, 농도, 수분 조건 및 재령과의 상호작용 속에서 조건부로 발현되는 특성을
갖기 때문으로 판단된다. 또한 양생온도의 경우 입력 범위가 1~60 °C로 비교적 넓음에도 불구하고 단변량 상관계수가 낮게 나타났는데, 이는 문헌
데이터에서 온도 조건이 CO2 농도, 상대습도 및 양생 시간과 결합되어 보고됨에 따라 개별 효과가 상쇄되었을 가능성을 반영한 결과로 해석할 수 있다. 한편 입력 변수 간 상관관계에서는
일부 높은 상관성이 확인되었다. CO2 양생 시간과 재령(curing age)은 0.88의 높은 상관계수를 보여 문헌 기반 데이터 통합 과정에서 시간 관련 변수 간 중복성이 존재함을 나타냈다.
또한 시멘트 함량과 플라이애시 치환율 간에는 –1.00의 강한 음의 상관관계를 나타냈는데, 이는 배합 설계상 결합재 조성의 상호 대체 관계를 직접적으로
반영한 결과이다. 이러한 결과는 데이터셋 내에 일정 수준의 다중공선성이 존재함을 시사하나, 본 연구에서는 변수 제거를 위한 통계적 필터링을 적용하지
않았다. 이는 트리 기반 머신러닝 모델이 분할 기준에 따라 변수를 선택적으로 활용함으로써, 상관성이 높은 변수 간 관계를 비선형적으로 처리할 수 있다고
판단하였기 때문이다.
Fig. 2 Pearson correlation of the variables used in this study
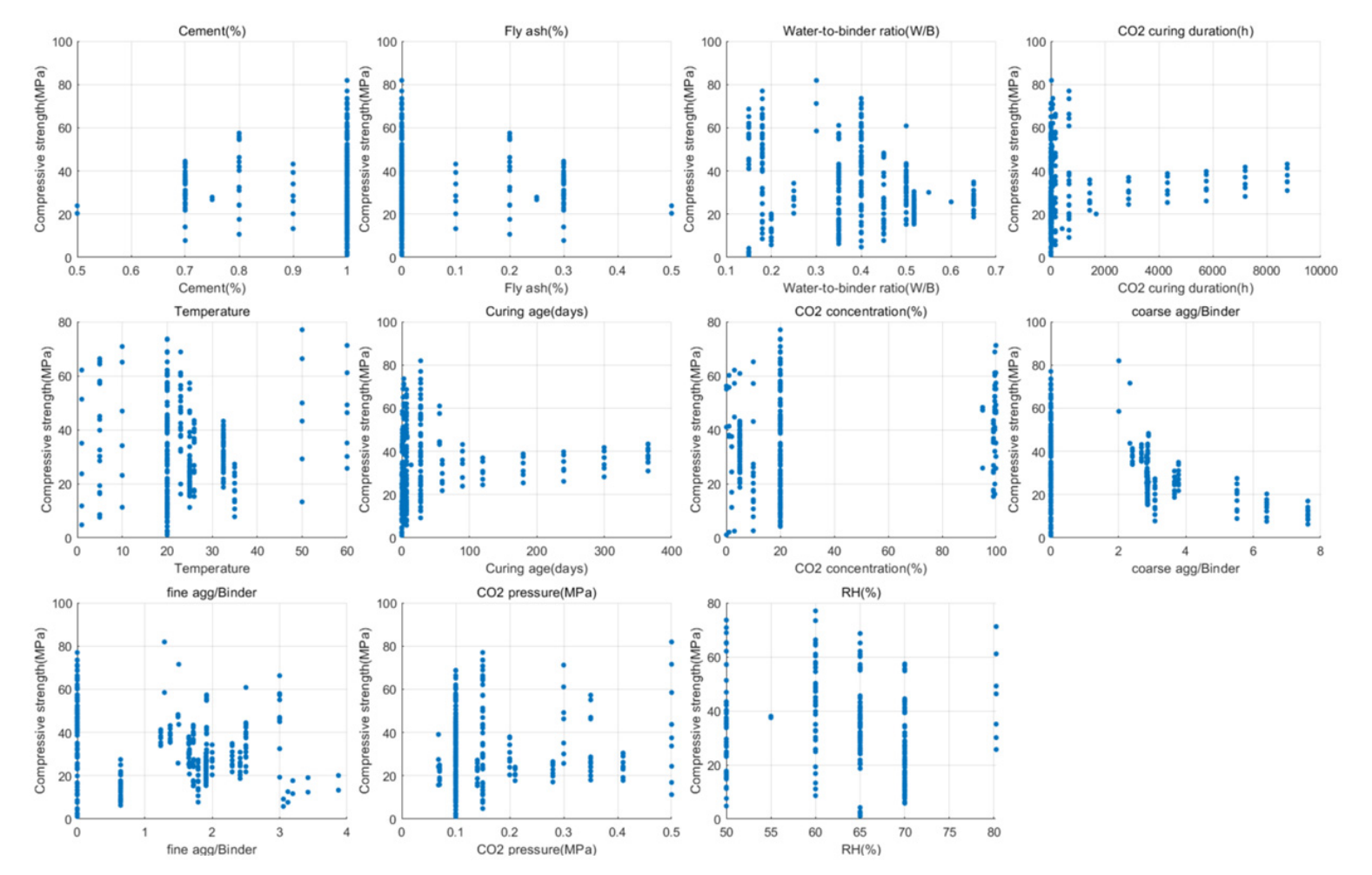
4.2 산점도 기반 데이터 분포 특성
Fig. 3의 산점도 분석 결과, 압축강도는 모든 입력 변수에 대해 넓은 분산과 비선형적 분포 특성을 보였다. 예로, CO2 양생 시간의 경우 수 시간 이내의 짧은 양생 조건에서도 20~70 MPa 범위의 압축강도가 관측되었으며, 수천 시간 이상의 장시간 양생 조건에서도
강도 증가가 선형적으로 확대되지 않는 경향이 확인되었다. 이는 CO2 확산 제한이나 표면 탄산화에 따른 반응 포화 현상이 존재할 가능성을 시사한다. 물–결합재비(W/B) 및 골재–결합재비의 경우에도 동일한 변수 값에서
압축강도가 20 MPa 이상 차이를 보이는 사례가 다수 관측되었다. 이는 배합 변수 단독 효과보다는 CO2 농도, 압력, 온・습도 및 재령과의 복합적 상호작용이 압축강도 발현에 지배적인 역할을 함을 의미한다. 온도 및 상대습도(RH) 또한 명확한 단조
관계는 나타나지 않았으나, 특정 범위 내에서 압축강도 값이 집중되는 경향을 보여 조건 의존적 비선형 효과가 존재함을 확인하였다.
Fig. 3 Scatter plots showing the relationships between individual input variables
and compressive strength
5. 모델 성능 평가 및 비교
5절에서는 CO2 양생 시멘트 복합체의 압축강도 예측을 위해 적용한 트리 기반 머신러닝 알고리즘들의 성능을 비교・분석하였다. 모델 성능 평가는 단순한 예측 정확도
비교에 그치지 않고, 문헌 기반 데이터셋의 이질성 및 비선형성을 고려한 일반화 성능, 예측 안정성, 그리고 과적합 발생 여부를 종합적으로 검토하는
방향으로 수행되었다. 이를 위해 Table 4에 제시된 성능 지표와 함께, Fig. 4의 표본별 예측 거동 및 Fig. 5의 예측 오차 분포 특성을 상호 연계하여 해석하였다. Table 4에 나타난 시험 데이터 기준 성능 비교 결과에 따르면, CatBoost 모델이 R²=0.89, RMSE=5.47 MPa, MAE=3.09 MPa로
가장 우수한 예측 성능을 나타냈으며, XGBoost 역시 R2=0.88, RMSE=5.76 MPa, MAE=3.26 MPa로 CatBoost와 유사한 수준의 높은 예측 정확도를 확보하였다. 반면 Random
Forest와 LightGBM 모델은 각각 R2=0.77 및 0.68로 상대적으로 낮은 설명력을 보였으며, 특히 LightGBM의 경우 RMSE와 MAE가 9.31 MPa 및 6.75 MPa로
나타나 예측 오차가 누적되는 경향을 보였다. 이러한 결과는 단순한 알고리즘 성능 차이를 넘어, CO2 양생 조건과 배합 변수 간의 복잡한 비선형 상호작용을 각 모델이 얼마나 효과적으로 학습할 수 있는지를 반영하는 것으로 해석할 수 있다. Fig. 4에 제시된 표본별 예측 결과를 살펴보면, CatBoost와 XGBoost 모델은 학습 데이터 구간과 시험 데이터 구간 모두에서 실측 압축강도의 변동
추세를 비교적 안정적으로 추종하는 양상을 나타낸다. 특히 시험 데이터 구간에서도 예측값과 실측값 간 괴리가 급격히 확대되는 구간이 제한적으로 나타나,
두 모델이 학습 데이터에 과도하게 적합 되기보다는 문헌 간 실험 조건 차이를 일정 수준까지 일반화하여 반영하고 있음을 시사한다. 예측 오차는 대부분
±10 MPa 이내에 분포하며, 고강도 및 저강도 영역 모두에서 비교적 균형 잡힌 예측 거동을 보였다.
반면 LightGBM과 Random Forest 모델에서는 특정 표본 구간에서 실측값 대비 예측값의 편차가 반복적으로 확대되는 경향이 관찰되었다.
이는 문헌 기반 데이터셋에서 흔히 나타나는 불균일한 분포, 변수 간 상관성의 비선형성, 그리고 일부 조건에서의 데이터 희소성에 대해 해당 모델들이
충분히 강건하게 대응하지 못했음을 의미한다. 특히 Random Forest의 경우 다수의 독립적인 결정 트리를 평균화하는 구조적 특성상, 변수 간
복합적인 상호작용이 지배적인 조건에서는 예측 정확도가 상대적으로 저하될 수 있다. 이러한 경향은 Fig. 5에 제시된 예측 오차 분포 분석을 통해 보다 명확히 확인된다. CatBoost와 XGBoost 모델의 오차 분포는 0 %를 중심으로 비교적 대칭적인
형태를 나타내며, 평균 오차가 0에 근접하고 분산 또한 제한적인 수준을 유지한다. 특히 학습 데이터와 시험 데이터의 오차 분포 형상이 유사하게 나타나,
두 모델 모두 과적합이 제한적으로 발생했음을 정량적으로 뒷받침한다. 이는 해당 모델들이 단순히 학습 데이터의 패턴을 암기한 것이 아니라, 서로 다른
실험 조건과 배합 조합에 내재된 강도 발현 경향을 구조적으로 학습했음을 시사한다. 반면 LightGBM과 Random Forest 모델에서는 오차
분포의 분산이 상대적으로 크고, 일부 비대칭성이 관찰되었다. 이는 특정 CO2 농도, 양생 시간 또는 배합 비율 영역에서 예측 불확실성이 증가했음을 시사하며, 모델이 데이터 분포의 극단 영역에 대해 충분한 설명력을 확보하지
못했음을 의미한다. 이러한 결과는 단순한 성능 지표 비교를 넘어, 문헌 기반 데이터셋의 특성상 요구되는 예측 안정성 측면에서 CatBoost와 XGBoost
모델이 보다 적합함을 뒷받침한다.
종합적으로, CatBoost와 XGBoost 모델은 CO2 농도, 양생 시간, 압력, 온도, 상대습도, 배합 비율 등 서로 다른 단위와 범위를 갖는 입력 변수 간의 비선형적 상호작용을 효과적으로 학습할 수
있는 반면, LightGBM과 Random Forest는 데이터 이질성과 분포 불균형에 대해 상대적으로 민감하게 반응한 것으로 해석된다. 특히 CatBoost
모델은 가장 높은 예측 정확도와 함께 표본 전반에 걸친 안정적인 예측 거동과 균형 잡힌 오차 분포를 동시에 확보하여, 본 연구의 SHAP 기반 민감도
분석을 위한 최종 예측 모델로 선정하였다.
Table 4 Performance comparison of tree-based machine learning models for compressive
strength prediction (test set)
|
Model
|
R2
|
RMSE
|
MAE
|
|
XGBoost
|
0.88
|
5.76
|
3.26
|
|
LightGBM
|
0.68
|
9.31
|
6.75
|
|
CatBoost
|
0.89
|
5.47
|
3.09
|
|
Random Forest
|
0.77
|
7.90
|
5.64
|
Fig. 4 Sample-wise comparison of actual and predicted compressive strength obtained
using tree-based machine learning models
Fig. 5 Error percentage distributions of compressive strength predictions for different
tree-based machine learning models
6. SHAP 기반 민감도 분석
본 절에서는 우수한 성능 알고리즘인 CatBoost 기반 압축강도 예측 모델에 대해 SHAP 분석을 수행하여, 각 입력 변수가 예측 결과에 기여하는
상대적 중요도와 영향 방향을 정량적으로 평가하였다. 본 SHAP 분석은 CO2 양생 시간과 재령 효과 간의 해석 혼선을 방지하기 위해 입력 변수 중 재령(Age)을 제외한 상태에서 수행되었다. SHAP 분석은 변수 중요도의
순위를 제시하는 데 그치지 않았으며, 개별 변수 값의 변화가 압축강도 예측값을 증가 또는 감소시키는 방향성과 그 크기를 샘플 단위에서 해석할 수 있다는
점에서, CO2 양생 공정의 비선형적 거동을 이해하는 데 적합한 방법론이다. Fig. 6에 제시된 SHAP summary plot에 따르면, CO2 양생 시간(CO2 curing duration)이 압축강도 예측에 가장 지배적인 영향을 미치는 변수로 나타났다. 해당 변수는 SHAP 값의 절대 범위가 가장 넓게
분포하며, 양생 시간이 증가함에 따라 압축강도 예측값이 전반적으로 증가하는 경향을 보인다. 이는 CO2 확산과 탄산화 반응이 시간 의존적으로 진행되며, 일정 범위 내에서는 CaCO3 생성 증가와 공극 구조 치밀화를 통해 강도 발현이 촉진된다는 기존 실험적 이해와 일치한다(Chen and Gao 2019). 다만 장시간 양생 영역에서는 SHAP 값의 분산이 증가하는 경향이 관찰되는데, 이는 CO2 확산 제한 또는 표면 탄산화 집중과 같은 비효율적 반응 조건이 일부 데이터에 포함되어 있음을 시사한다. 다만 장시간 또는 특정 농도 조건에서는 표본
수가 제한적일 수 있으므로, SHAP 값 분산 증가라는 확산 제한과 같은 물리적 요인과 데이터 분포 특성이 복합적으로 반영된 결과로 해석할 필요가
있다. 다음으로 높은 중요도를 보인 변수는 골재–결합재비(coarse aggregate/binder ratio)이다. 해당 변수는 값이 증가할수록
SHAP 값이 음의 방향으로 이동하는 경향을 보여, 골재 비율 증가가 압축강도 저하로 이어질 가능성이 높음을 나타낸다. 이는 결합재량 감소에 따른
매트릭스 연속성 저하와 더불어, CO2 탄산화 반응에 기여할 수 있는 반응성 상의 상대적 감소와 관련된 현상으로 해석할 수 있다(Chu et al. 2025).
또한, SHAP 값의 분산이 비교적 크게 나타나는 점은, 골재–결합재비의 영향이 다른 배합 변수 및 CO2 양생 조건과의 상호작용에 따라 달라질 수 있음을 의미한다. CO2 농도(CO2 concentration)는 상위 변수로 도출되었으나, 그 영향 방향은 단조롭지 않은 비선형 거동을 보인다. 중간 농도 영역에서는 양의 SHAP
값이 우세한 반면, 고농도 영역에서는 SHAP 값이 감소하거나 분산되는 경향이 관찰된다. 이는 CO2 농도가 증가함에 따라 탄산화 반응 속도는 증가하나, 일정 수준을 초과할 경우 확산 지배 또는 표면 반응 집중으로 인해 내부 반응 효율이 제한될 수
있음을 시사한다(Zhang et al. 2023). 이러한 결과는 CO2 양생 공정에서 ‘최적 농도 범위’가 존재함을 정량적으로 뒷받침하는 데이터 기반 해석으로 볼 수 있다. 그 외 잔골재–결합재비, 상대습도, 물–결합재비는
중간 수준의 중요도를 나타냈다. 이들 변수는 전반적으로 값이 증가할수록 압축강도 예측값에 부정적인 영향을 미치는 경향을 보였으나, SHAP 값의 분포
폭이 상대적으로 제한적이었다. 이는 해당 변수들이 단독으로 강도 발현을 지배하기보다 CO2 양생 조건과 결합하여 간접적인 영향을 미치는 역할을 수행함을 의미한다. 특히 물–결합재비의 경우, 수분 상태가 탄산화 반응 경로와 생성물 안정성에
영향을 미치지만, 그 효과는 양생 시간 및 CO2 농도와의 상호작용 속에서 발현되는 것으로 해석된다. 반면 온도, CO2 압력, 플라이애시 치환율, 시멘트 함량은 상대적으로 낮은 SHAP 중요도를 나타냈다. 이는 본 연구에서 구축한 문헌 기반 데이터셋의 범위 내에서는
해당 변수들이 압축강도 발현에 미치는 직접적인 영향이 제한적이었음을 의미한다. 특히 시멘트 및 플라이애시 함량은 기본적인 강도 수준을 설정하는 배합
변수로서의 역할은 수행하나 CO2 양생 조건이 지배적인 환경에서는 그 상대적 기여도가 감소한 것으로 해석된다. 다만 이는 해당 변수들이 중요하지 않다는 의미로 해석하기보다, 타 변수들과의
상호작용을 통해 간접적으로 모델에 반영되었을 가능성을 내포한다. 결론적으로 SHAP 기반 민감도 분석 결과는 CO2 양생 시멘트 복합체의 압축강도 발현이 단일 변수에 의해 결정되기보다 양생 시간, CO2 농도, 배합 비율을 중심으로 한 다변량・비선형 상호작용 구조에 의해 지배됨을 명확하게 시사한다.
Fig. 6 SHAP summary plot for compressive strength prediction using the CatBoost model
7. 논의 및 향후 연구
본 연구에서는 문헌 기반 데이터셋을 활용하여 CO2 양생 시멘트 복합체의 압축강도 발현 거동을 트리 기반 머신러닝 모델로 예측하고, SHAP 기반 민감도 분석을 통해 주요 양생 및 배합 변수가 압축강도에
미치는 상대적 영향 특성을 정량적으로 해석하였다. 이를 통해 CO2 양생 공정에서 강도 발현을 지배하는 핵심 인자를 다변량・비선형 관점에서 규명하였다는 점에서 의의를 갖는다. 다만, 본 연구의 분석 범위와 방법론적
특성상 몇 가지 한계가 존재하며, 이는 향후 연구를 통해 확장되어야 할 중요한 연구 방향을 시사한다. 우선, 본 연구에서 구축한 예측 모델은 압축강도를
단일 출력 변수로 설정하였다. 이는 CO2 양생 공정의 기계적 성능을 대표하는 지표로서 타당성이 있다고 판단되나, 실제 공정 설계 및 재료 적용 관점에서는 압축강도만으로 재료의 성능을 평가하는
데에는 분명한 한계가 존재한다. CO2 양생은 강도 향상뿐만 아니라 탄산화 깊이, CO2 고정량(carbon uptake), 미세구조 변화, 내구성(투수성, 염해 저항성) 및 환경적 성능을 동시에 고려해야 하는 공정이다(Cho et al. 2025). 따라서 본 연구에서 제시한 예측 모델은 강도 발현 메커니즘을 이해하기 위한 1차적 분석 체계로서의 의미를 가지며, 성능 최적화 관점에서는 제한적인
범위를 갖는다. 또한 본 연구는 문헌 기반 데이터셋을 활용함에 따라, 서로 다른 실험 조건, 시편 크기, 시험 방법 및 양생 프로토콜에 기인한 불가피한
이질성을 내포하고 있다는 한계가 존재한다. 이에, 트리 기반 머신러닝 알고리즘을 적용함으로써 이러한 이질성에 대한 모델의 강건성을 일정 수준 확보하였으나,
데이터 수집 단계에서 실험 조건을 완전히 통제하지 못했다는 점은 구조적인 한계로 남는다. 특히 CO2 확산 경로, 시편 형상 효과, 양생 챔버의 유동 조건 등과 같은 공정 수준 변수들은 본 데이터셋에 명시적으로 반영되지 못하였다. 상술된 모델의 한계는
본 연구의 독창성이 위치하는 경계를 명확히 규정한다. 즉, 본 연구의 기여는 특정 공정 조건에서의 ‘최적 배합’을 제시하는 데 있지 않으며, 다수의
CO2 양생 조건과 배합 변수가 동시에 작용하는 복잡한 환경에서 압축강도 발현 거동을 데이터 기반으로 해석 가능하게 제시했다는 점에 있다. 이는 후속 연구에서
보다 정교한 공정 설계 및 최적화를 수행하기 위한 기반 체계로 활용될 수 있다. 향후 연구에서는 본 연구에서 구축한 예측–해석 체계를 다목적 최적화(multi-objective
optimization) 관점으로 확장할 필요가 있다. CO2 양생 공정은 압축강도 최대화만을 목표로 할 경우, 과도한 CO2 주입, 장시간 양생, 또는 비경제적인 공정 조건으로 수렴할 가능성이 있다. 이에 압축강도와 함께 CO2 고정 효율, 에너지 소비, 양생 시간, 내구성 지표 등을 동시에 고려하는 다목적 최적화 접근이 요구된다. 이러한 접근은 Pareto 최적해 기반의
설계 공간 탐색을 통해, 성능–환경성–경제성 간의 균형점을 도출하는 데 기여할 수 있다. 아울러, 예측 모델의 출력 변수를 단일 강도 지표에서 벗어나,
CO2 고정량, 미세구조 지표 또는 내구성 관련 성능으로 확장하는 것도 중요한 연구 방향이다. 이를 통해 CO2 양생 공정을 단순한 강도 향상 기술이 아닌, 탄소 활용 및 성능 최적화를 동시에 달성하는 통합 공정 기술로 정립할 수 있을 것으로 기대된다.
8. 결 론
본 연구에서는 CO2 양생 시멘트 복합체의 압축강도 발현 특성을 데이터 기반으로 분석하기 위하여 선행문헌으로부터 수집한 실험 데이터를 활용하여 트리 기반 머신러닝 예측
모델을 구축하고 SHAP 기반 민감도 분석을 통해 주요 영향 인자의 역할을 해석하였다. 본 연구를 통해 도출된 주요 결론은 다음과 같다.
1) 선행문헌 기반으로 구축된 데이터셋을 활용한 머신러닝 분석 결과, 트리 기반 알고리즘은 CO2 양생 시멘트 복합체의 압축강도 예측에 있어 높은 예측 정확도와 안정적인 일반화 성능을 보였다. 특히 CatBoost 및 XGBoost 모델은 시험
데이터 기준에서 높은 결정계수(R2)와 낮은 예측 오차(RMSE, MAE)를 동시에 나타내어, 다양한 배합 조건과 양생 조건이 혼재된 데이터 환경에서도 비교적 신뢰성 있는 예측이 가능함을
확인하였다. 이는 트리 기반 모델이 CO2 양생 공정에서 나타나는 비선형성과 변수 간 상호작용을 효과적으로 반영할 수 있음을 시사한다.
2) SHAP 기반 민감도 분석 결과, 압축강도 발현에 가장 큰 영향을 미치는 변수는 CO2 양생 시간으로 나타났으며, 골재–결합재비, CO2 농도, 잔골재–결합재비 등이 주요 영향 인자로 도출되었다. 특히 CO2 농도와 양생 시간은 압축강도에 대해 단조적인 영향이 아닌 비선형 거동을 나타내어, 일정 조건 이상에서는 강도 증가 효과가 제한되거나 감소하는 경향을
보였다. 이는 CO2 양생 공정이 단일 변수에 의해 지배되는 것이 아니라, 다수의 공정 및 배합 변수가 복합적으로 작용하는 시스템임을 규명하였다.
3) 본 연구에서 제안한 머신러닝–SHAP 통합 분석 체계는 단순한 압축강도 예측을 넘어, CO2 양생 공정에서 각 변수의 상대적 중요도와 영향 방향을 정량적으로 해석할 수 있는 방법론을 제시하였다. 다만, 본 연구는 문헌 기반 데이터에 의존하였다는
점에서 실험 조건의 불균형 및 데이터 분포의 제약을 내포하고 있으며, 출력 변수를 압축강도로 한정하였다는 한계를 가진다. 따라서 향후 연구에서는 CO2 고정량, 내구성 지표, 환경 성능 등을 포함한 다목적 최적화 문제로 확장하여, CO2 활용형 시멘트계 재료의 성능 설계 및 공정 최적화를 보다 종합적으로 검토할 필요가 있을 것으로 판단된다.
감사의 글
이 논문은 2025년도 교육부 및 서울특별시의 재원으로 서울 RISE센터의 지원을 받아 수행된 지역혁신중심 대학지원체계(RISE)의 결과입니다(2025-RISE-01-014-04).
References
Ahmad S., Assaggaf R. A., Maslehuddin M., Al-Amoudi O. S. B., Adekunle S. K., Ali
S. I., 2017, Effects of Carbonation Pressure and Duration on Strength Evolution of
Concrete Subjected to Accelerated Carbonation Curing, Construction and Building Materials,
Vol. 136, pp. 565-573

Ba M., Fang S., Cheng W., Zhao Y., 2023, Effects of CO2 Curing on the Properties of
Pervious Concrete in Different Paste-Aggregate Ratios, Materials, Vol. 16, No. 13,
pp. 4581

Benhelal E., Zahedi G., Shamsaei E., Bahadori A., 2013, Global Strategies and Potentials
to Curb CO2 Emissions in Cement Industry, Journal of Cleaner Production, Vol. 51,
pp. 142-161

Chen T., Gao X., 2019, Effect of Carbonation Curing Regime on Strength and Microstructure
of Portland Cement Paste, Journal of CO2 Utilization, Vol. 34, pp. 74-86

Chen T., Gao X., 2020, Use of Carbonation Curing to Improve Mechanical Strength and
Durability of Pervious Concrete, ACS Sustainable Chemistry and Engineering, Vol. 8,
No. 9, pp. 3872-3884

Chen T., Bai M., Gao X., 2021, Carbonation Curing of Cement Mortars Incorporating
Carbonated Fly Ash for Performance Improvement and CO2 Sequestration, Journal of CO2
Utilization, Vol. 51, pp. 101633

Cho S., Lee N., Kim M. O., 2025, A Comprehensive Review on CO2 Utilization in Cement
and Concrete: From Microstructural Transformations to Structural Applications, Case
Studies in Construction Materials, pp. e05265

Chu J., Guo B., Zhong T., Guan Q., Wang Y., Niu D., 2025, Explainable Machine Learning
Model for Predicting Compressive Strength of CO2-Cured Concrete, Case Studies in Construction
Materials, Vol. 22, pp. e04589

Ekanayake I. U., Meddage D. P. P., Rathnayake U., 2022, A Novel Approach to Explain
the Black-Box Nature of Machine Learning in Compressive Strength Predictions of Concrete
Using Shapley Additive Explanations (SHAP), Case Studies in Construction Materials,
Vol. 16, pp. e01059

Guleria H., Sharma D., Goyal S., 2024, Long-Term Performance of Concrete Using Accelerated
Carbonation Curing: An Effective CCUS Technique, European Journal of Environmental
and Civil Engineering, Vol. 28, No. 9, pp. 2138-2159

Guo B., Chu G., Yu R., Wang Y., Yu Q., Niu D., 2023, Effects of Sufficient Carbonation
on the Strength and Microstructure of CO2-Cured Concrete, Journal of Building Engineering,
Vol. 76, pp. 107311

Gupta S., Kashani A., Mahmood A. H., Han T., 2021, Carbon Sequestration in Cementitious
Composites Using Biochar and Fly Ash: Effect on Mechanical and Durability Properties,
Construction and Building Materials, Vol. 291, pp. 123363

He P., Drissi S., Hu X., Liu J., Shi C., 2024, Properties of CO2-Cured Cement Incorporating
Fly Ash and Slag Subjected to Further Water Curing, Cement and Concrete Composites,
Vol. 152, pp. 105633

Hussain S., Bhunia D., Singh S. B., 2017, Comparative Study of Accelerated Carbonation
of Plain Cement and Fly- Ash Concrete, Journal of Building Engineering, Vol. 10, pp.
26-31

Jeon S. M., Kim H. K., 2025, Effect of Carbonation on Concrete Strength: A Consideration
of Natural Carbonation and Accelerated Carbonation Curing, Journal of the Korea Concrete
Institute, Vol. 37, No. 4, pp. 453-461, (In Korean)

Jiang L., Wu Q., Huo Z., Zhu Z., Wu F., Lu B., 2023, An Approach to Improve Compressive
Strength of Cement Paste at Low Temperature by Carbonation Curing, Construction and
Building Materials, Vol. 365, pp. 130128

Kang M. C., Yoo D. Y., Gupta R., 2021, Machine Learning- Based Prediction for Compressive
and Flexural Strengths of Steel Fiber-Reinforced Concrete, Construction and Building
Materials, Vol. 266, pp. 121117

Kim W. C., Lee T. G., 2025, Concrete Deterioration Prediction Model Subjected to High
Temperature Using a Machine Learning-Based Non-Destructive Method, Journal of the
Korea Concrete Institute, Vol. 37, No. 4, pp. 417-425, (In Korean)

Lee Y. J., Kim I. T., Han D. Y., 2024, Development of a Concrete Rheology Parameter
Prediction Model Based on Concrete Slump Flow Using a Machine Learning Algorithm,
Journal of the Korea Concrete Institute, Vol. 36, No. 1, pp. 61-71, (In Korean)

Li X., Ling T. C., 2020, Instant CO2 Curing for Dry-Mix Pressed Cement Pastes: Consideration
of CO2 Concentrations Coupled with Further Water Curing, Journal of CO2 Utilization,
Vol. 38, pp. 348-354

Liu Z., Luo S., Liu S., Zhang H., Unluer C., Yang L., 2025, Revealing the Underlying
Mechanism behind CO2 Curing Light Porous Solid-Waste-Based Concrete, Construction
and Building Materials, Vol. 465, pp. 140129

Lu B., Drissi S., Liu J., Hu X., Song B., Shi C., 2022, Effect of Temperature on CO2
Curing, Compressive Strength and Microstructure of Cement Paste, Cement and Concrete
Research, Vol. 157, pp. 106827

Nam M. S., Yang B. J., Roh S. J., Park S. Y., Park D. C., Wi K. W., 2025, Carbonation
of Municipal Solid Waste Incineration Fly Ash Using CO2 Microbubbles and Its Application
as a Cementitious Material, Journal of the Korean Recycled Construction Resources
Institute, Vol. 13, No. 4, pp. 416-425, (In Korean)

Padmalal A., Kulkarni K. S., Rawat P., Sugandhini H. K., 2024, Efficacy of Accelerated
Carbonation Curing and Its Influence on the Strength Development of Concrete, Buildings,
Vol. 14, No. 8, pp. 2573

Peng Y., Unluer C., 2022, Analyzing the Mechanical Performance of Fly Ash-Based Geopolymer
Concrete with Different Machine Learning Techniques, Construction and Building Materials,
Vol. 316, pp. 125785

Qin L., Gao X., Chen T., 2019, Influence of Mineral Admixtures on Carbonation Curing
of Cement Paste, Construction and Building Materials, Vol. 212, pp. 653-662

Rathnayaka M., Karunasinghe D., Gunasekara C., Wijesundara K., Lokuge W., Law D. W.,
2024, Machine Learning Approaches to Predict Compressive Strength of Fly Ash- Based
Geopolymer Concrete: A Comprehensive Review, Construction and Building Materials,
Vol. 419, pp. 135519

Saikia S. K., Rajput A. S., 2024, Effect of Carbon Sequestration Methods on Uptake
Potential and Characteristics of Ordinary Portland Cement-Based Concrete, Construction
and Building Materials, Vol. 418, pp. 135330

Sharma D., Goyal S., 2022, Effect of Accelerated Carbonation Curing on Near Surface
Properties of Concrete, European Journal of Environmental and Civil Engineering, Vol.
26, No. 4, pp. 1300-1321

Singh N. P., Gunasekeran S. K., S G. K., 2025, Influence of CO2 Curing on the Performance
of Early-Age and Matured Pervious Concrete, European Journal of Environmental and
Civil Engineering, pp. 1-20

Song B., Shi C., Hu X., Ouyang K., Ding Y., Ke G., 2021, Effect of Early CO2 Curing
on the Chloride Transport and Binding Behaviors of Fly Ash-Blended Portland Cement,
Construction and Building Materials, Vol. 288, pp. 123113

Wang H., Wen B., Xu P., Gao G., Zhang L., Niu D., 2025, Effect of CO2 Curing on the
Strength and Microstructure of Composite Waste Glass Concrete, Construction and Building
Materials, Vol. 463, pp. 140042

Wang J., Xu H., Xu D., Du P., Zhou Z., Yuan L., Cheng X., 2019, Accelerated Carbonation
of Hardened Cement Pastes: Influence of Porosity, Construction and Building Materials,
Vol. 225, pp. 159-169

Worrell E., Price L., Martin N., Hendriks C., Meida L. O., 2001, Carbon Dioxide Emissions
from the Global Cement Industry, Annual Review of Energy and the Environment, Vol.
26, No. 1, pp. 303-329

Yan Z., Li H., Wang M., Jiang L., Chen B., 2023, The Compressive Strength, Reaction
Kinetics and Phases Evolution of CO2-Cured Cement Pastes at Low Temperatures, Journal
of Sustainable Cement-Based Materials, Vol. 12, No. 12, pp. 1509-1518

Yang X., Wang X. Y., 2021, Strength and Durability Improvements of Biochar-Blended
Mortar or Paste Using Accelerated Carbonation Curing, Journal of CO2 Utilization,
Vol. 54, pp. 101766

Zhan B. J., Xuan D. X., Poon C. S., Shi C. J., 2019, Mechanism for Rapid Hardening
of Cement Pastes under Coupled CO2-Water Curing Regime, Cement and Concrete Composites,
Vol. 97, pp. 78-88

Zhang D., Shao Y., 2016, Early Age Carbonation Curing for Precast Reinforced Concretes,
Construction and Building Materials, Vol. 113, pp. 134-143

Zhang L., Zha X., Ning J., Li W., 2023, Research Status on the Application Technology
of Early Age Carbon Dioxide Curing, Buildings, Vol. 13, No. 4, pp. 957
