임태훈
(Tae-Hun Lim)
1
문선영
(Sun-Young Moon)
1
최가은
(Ga-Eun Choe)
1
이승훈
(Seung-Hoon Lee)
2
김한수
( Han-Soo Kim)
3*iD
-
건국대학교 건축학과 석사과정
(Graduate Student, Department of Architecture, Konkuk University, Seoul 05029, Rep.
of Korea)
-
건국대학교 건축학과 박사과정
(Graduate Student, Department of Architecture, Konkuk University, Seoul 05029, Rep.
of Korea)
-
건국대학교 건축학과 교수
(Professor, Department of Architecture, Konkuk University, Seoul 05029, Rep. of Korea)
Copyright © Korea Concrete Institute(KCI)
키워드
SDOF 해석, 비대칭 단면, 축하중, 폭발하중, 철근콘크리트 부재
Key words
SDOF analysis, asymmetric cross-section, axial load, blast load, reinforced concrete member
1. 서 론
석유화학 산업 시설과 같은 플랜트 시설물에서는 폭발 사고가 발생할 수 있으며, 구조물의 손상은 심각한 인명피해와 재산적 손실을 초래할 수 있다(Geng et al. 2021). ASCE (2010)와 UFC 3-340-02(DOD 2008)는 구조물을 중심으로 내폭 설계 가이드라인을 제시한다.
폭발하중은 짧은 시간 동안 구조물에 큰 압력을 가하기 때문에, 내폭 설계는 각 구조 부재 단위로 이루어진다. 폭발해석 실무에는 짧은 해석 시간으로
비선형 동적 응답의 근사치를 제공하는 단자유도(SDOF, single degree of freedom) 비선형 동적 해석이 주로 사용된다(Thairy 2016).
축하중과 횡력을 동시에 받는 철근콘크리트 구조 부재는 축력의 변화에 따라 휨 모멘트 저항력이 크게 변하며, 이를 축력-모멘트 상관도에서 확인할 수
있다. 비대칭 배근이 적용된 철근콘크리트 부재는 인장측 철근량이 증가함에 따라 정모멘트 저항력이 향상된다. 비대칭 철근 배근은 지진과 같은 양방향성
하중에는 구조 설계상 불리할 수 있으나, 일방향성 하중인 폭발하중에는 휨 저항력을 증가시킬 수 있는 설계적 이점을 제공한다. 이에 따라, 철근 비대칭
배근 철근콘크리트 부재에 대한 폭발해석 시 축하중의 영향과 배근의 비대칭성을 고려한 폭발해석이 필요하다.
Kyei and Braimah (2017)은 축력과 폭발하중을 받는 철근콘크리트 기둥에 대한 실험 결과를 비선형 동적 3차원 유한요소해석과 비교 분석하였으며, 축하중이 폭발하중 하에서 횡변위를
감소시키는 효과가 있음을 주장하였다. Nickerson et al. (2015)은 현행 내폭 설계 기준을 평가하기 위해 비선형 동적 3차원 유한요소해석과 SDOF 해석을 사용하였고, 내폭 설계 기준들이 축하중의 영향을 고려하지
않아 과도하게 보수적인 결과를 초래할 수 있다고 주장한다. Mai et al. (2021)은 UHPC 기둥에 대하여 실험과 ABAQUS를 사용한 유한요소해석을 비교하였으며, 단면 형상에 따른 동적 거동을 분석하였다. Lee et al. (2024)은 ANN 모델을 활용하여 근접폭발의 영향을 반영한 단자유도 수치해석 응답보정 모델을 제시하였다.
폭발하중과 축하중을 받는 철근콘크리트 부재에 관한 폭발해석 연구가 다수 진행되었지만, 철근의 비대칭 배근에 따른 동적 거동에 대한 비교 분석은 미흡하다.
현재 축하중을 고려한 폭발해석은 대부분 3차원 유한요소를 활용한 비선형 동적 해석방법을 사용하고 있다. 이에 따라, 실무에 적합한 간단한 폭발해석
방법의 개발과 철근의 비대칭 배근이 동적 응답에 미치는 영향을 분석하는 연구가 필요하다.
본 연구에서는 축하중과 비대칭 단면을 고려한 비선형 SDOF 폭발해석 절차를 제시하고, 철근의 비대칭 배근이 동적 응답에 미치는 영향을 분석한다.
축하중과 비대칭 단면을 반영한 폭발해석은 축하중과 횡하중을 받는 비선형 정적 해석을 수행하여 저항함수를 정의한 후, 등가 SDOF 시스템으로 변환하여
동적해석을 진행한다. 배근 형태가 동적 응답에 미치는 영향을 분석하기 위해서 단면 해석을 통해 대칭, 비대칭 단면의 휨 저항력을 비교한 후, 동적
해석을 통해 대칭, 비대칭 단면의 동적 응답을 비교 분석한다. 본 연구 결과는 축하중과 폭발하중을 받는 철근콘크리트 부재의 비대칭 배근에 따른 동적
응답을 분석하여, 향후 성능기반 내폭설계에 활용할 수 있다.
2. 축력과 폭발하중을 받는 구조물의 폭발해석 방법
2.1 충격파 폭발하중의 이상화
본 연구에 사용된 폭발하중은 충격파 형태로 적용하였다. ASCE (2010)는 폭발 시 발생하는 충격파를 Fig. 1(a)로 제시하고, 이를 이상화한 곡선을 Fig. 1(b)로 정의하였다. 음압($P_{so-}$)은 양압($P_{so}$)에 비해 상대적으로 압력이 낮기에 양압만을 고려하여 폭발파를 삼각형 형태로 이상화한다.
한편, Yang et al. (2024)은 부재에 등분포하중을 가정하는 것이 일반적이고 근거리 폭발의 경우 부정확한 결과를 초래할 수 있어 신중하게 고려하여야 한다고 하였다.
Fig. 1 Blast wave pressure-time function
2.2 축력을 고려한 등가 SDOF 시스템
SDOF 시스템의 운동 방정식은 식 (1)과 같이 표현된다.
여기서, $M$은 구조 부재의 질량, $\ddot{u}$은 가속도, $K$는 강성, $u$는 변위, $F(t)$는 시간에 따라 변하는 폭발하중을 의미한다.
폭발하중의 지속 시간은 일반적으로 구조물의 고유주기보다 짧으며, 최대 변위는 첫 번째 주기에 나타나기 때문에 폭발해석에서는 감쇠를 고려하지 않는다(Liu et al. 2018). 균일 단면을 가진 구조부재는 식 (2)와 같이 등가 SDOF 시스템으로 단순화시킬 수 있다(Biggs 1964).
여기서, $\Phi(x)$는 근사 형상 함수, $K_{M}$은 질량 변환 계수, $K_{L}$은 하중 변환 계수 또는 강성 변환 계수이다. SDOF
시스템의 운동 방정식은 하중-질량 변환 계수를 사용하여 식 (3)과 같이 나타낼 수 있다.
여기서, $K_{LM}$는 하중-질량 변환계수, $K_{LM}= K_{M}/K_{L}$이다.
본 연구에서는 축력을 고려한 비대칭 단면의 SDOF 해석을 위해 공개된 비선형 동적해석 프로그램인 OpenSees (McKenna 1997)를 사용하였다. 축력을 고려한 SDOF 해석은 축력이 함께 고려된 저항함수를 도출해야 한다. 저항함수는 비선형 푸쉬오버(pushover) 해석을 통해
도출하였다. Fig. 2(a)에 제시된 축력과 횡력을 받는 구조물의 저항함수 도출은 Fig. 2(b)의 arc length method를 사용하였다. Arc length method는 저항력 감소를 나타내는 비선형 거동을 효과적으로 해석할 수 있다.
수정된 뉴턴-랩슨법(modified Newton-Raphson method)을 통해 식 (4a)와 식 (4b)를 만족하는 해를 구하고, 이를 반복적으로 계산하여 축력을 고려한 저항함수를 도출한다(Crisfield 1981).
여기서, $\Delta u$는 변위의 증분, $\lambda$는 하중 계수, $l$는 arc length, $[K]$는 강성 행렬이다.
축력이 고려된 저항함수는 유효 초기강성, 항복변위 그리고 파괴 시점을 정의해야 한다. Liu et al. (2021)은 최대 저항값의 75 % 지점을 연결한 선의 기울기를 유효 초기강성으로 정의하였고, 항복 변위는 유효 초기강성 직선과 최대 저항값이 만나는 지점으로
정의하였다. Low and Hao (2002)은 폭발하중을 고려한 콘크리트 파괴 변형률을 0.0054로 설정하였으며, Angela et al. (2021)은 저항력이 20 % 감소하는 지점을 부재의 파괴 시점으로 정의하였다. 본 연구에서는 두 파괴 시점 중 먼저 파괴되는 시점을 최종 파괴 시점으로 정의하였다.
이를 바탕으로, Fig. 3(a)에 제시된 삼선형 저항함수를 이용하여 비선형 거동을 단순화하였다.
비대칭 단면은 하중 방향에 따라 다른 저항함수를 보이지만, 기존의 SDOF 해석 방법은 대칭 형태로 저항함수를 정의하는 문제가 있다. 이를 해결하기
위해 OpenSees의 hysteretic material model을 사용하여 Fig. 3(b)와 같이 양의 방향과 음의 방향의 저항함수를 각각 삼선형 저항함수로 단순화하여 정의하였다.
철근콘크리트 부재의 이력 곡선은 하중 재하 및 제하 과정에서 발생하는 콘크리트의 균열로 인해 강성이 변화하게 된다. 강성의 변화 시점은 저항력의 부호가
변하는 순간으로 설정되며, Fig. 4와 같이 비대칭 단면을 가진 철근콘크리트 부재의 이력 곡선 거동이 정의된다.
Fig. 2 Axial load integration method in resistance function
Fig. 3 Definition of resistance function
Fig. 4 Hysteresis curve of resistance function
2.3 축력을 고려한 비대칭 단면의 SDOF 폭발해석 절차
폭발해석 과정은 비선형 푸쉬오버 해석을 통한 저항함수 도출과 등가 SDOF 시스템을 이용한 폭발해석으로 구분된다. 비선형 푸쉬오버 해석에는 다자유도
섬유 단면 보 요소를 사용하였다. 해석에 사용된 보 요소는 OpenSees의 nonlinear beam column 요소이다. 해석 모델은 단일 부재로
구성된 간단한 모델로, 총 10개의 보 요소로 나눴다. 각 노드는 3개의 자유도를 가지며, 섬유 단면은 가로 방향과 세로 방향을 각각 10개로 나누어
총 100개의 섬유 요소를 사용하였다. 콘크리트 재료 모델로는 OpenSees에 구현된 Concrete04 모델을 사용하였으며, 이 모델은 Popovics (1973)에 의해 개발된 것을 기반으로 한다. 철근의 경우, OpenSees의 Steel01 모델인 이선형 철근 모델을 적용하였다.
저항함수를 계산하는 과정에서 변형률 속도 효과 및 강도 증가 계수(strength increase factor)를 고려하였다. 변형률 속도 효과를
반영하기 위해 동적증가계수(dynamic increase factor)를 사용하였으며, ASCE (2010)의 동적증가계수와 강도증가계수 값에 따라 콘크리트는 동적증가계수 1.19와 강도증가계수 1.0, 철근은 동적증가계수 1.17, 강도증가계수 1.1을
사용하였다.
비선형 푸쉬오버 해석은 비대칭 단면의 양방향 및 음방향 각각에 대해 수행되며, 해석은 앞에서 정의된 저항함수의 파괴 시점까지 진행된다. 도출된 저항함수와
Table 1에 제시된 변환계수를 사용하여 등가 SDOF 시스템으로 변환 후 비선형 동적해석을 수행한다. 폭발해석 과정에서는 각 단계에서 도출된 변위를 저항함수의
파괴 시점과 비교하고, 이를 초과하는 경우 해석을 종료하며 그렇지 않은 경우 최대 해석 시간까지 계속 진행하였다.
Table 1 Equivalent SDOF system transformation factor
|
Pin-Pin boundary condition
|
|
Range of behavior
|
Load factor, KL
|
Mass factor, KM
|
Load-Mass factor, KLM
|
|
Elastic
|
0.64
|
0.5
|
0.781
|
|
Plastic
|
0.5
|
0.33
|
0.66
|
|
Fix-Fix boundary condition
|
|
Range of behavior
|
Load factor, KL
|
Mass factor, KM
|
Load-Mass factor, KLM
|
|
Elastic
|
0.53
|
0.41
|
0.774
|
|
E-P*
|
0.64
|
0.5
|
0.781
|
|
Plastic
|
0.5
|
0.33
|
0.66
|
Note: E-P* denotes Elastic-Plastic
3. 비선형 동적 폭발해석 검증
축력 및 비대칭 단면을 고려한 폭발해석의 정확도를 검증하기 위해 두 가지 실험을 선정하여 실험 결과와 비교 검증하였다.
3.1 축력과 폭발하중을 받는 대칭 단면 RC 기둥 검증
Woodson and Baylot (1999)은 Table 2의 대칭 단면 RC 기둥에 대해 최대 축력의 7 % 축하중을 가하여 폭발 실험을 수행하였다. Fang et al. (2021)은 유한요소해석(LS-DYNA)을 이용하여 Table 3의 폭발하중에 대해 실제 실험과 해석 결과를 비교 검증하였다. 콘크리트 압축 강도는 42 MPa, 철근 항복강도는 450 MPa이고 폭발하중은 7
MPa의 최대 압력과 1.1 MPa-ms의 충격량을 삼각형 형태로 이상화하여 등분포하중으로 적용하였다.
Fig. 5는 기둥 중앙부의 시간에 따른 변위를 실험에서 측정된 결과, Fang et al. (2021)의 3차원 유한요소해석 결과, SDOF 해석 결과를 각각 나타낸 것이다.
실험에서 측정된 기둥 중앙부의 최대 변위와 영구변위는 각각 12.4 mm, 7.8 mm이다. SDOF 해석 결과 최대 변위와 영구변위는 11.6 mm,
7 mm이고 실험값과의 차이는 7 %, 10 %이다. 실험과 최대 변위, 소성 거동의 전반적인 거동이 유사하여 본 연구의 폭발해석 방법이 타당함을
확인하였다.
Fig. 5 Comparison of blast analysis for symmetric sections
Table 2 RC column section data (Woodson and Baylot 1999)
|
Boundary
condition
|
Type
|
Dimension
(mm)
|
Steel ratio
(%)
|
Length
(mm)
|
|
Fix-Fix
|
Rectangle
|
89 × 89
|
0.8
|
800
|
Table 3 Blast load data (Fang et al. 2021)
|
TNT mass (kg)
|
Scaled distance
(m/kg1/3)
|
Peak pressure
(MPa)
|
Impulse
(MPa-ms)
|
Axial stress
(MPa)
|
|
8
|
0.54
|
7
|
1.1
|
2.1
|
3.2 폭발하중을 받는 비대칭 단면 RC 보 검증
Yang et al. (2024)은 Table 4의 비대칭 단면 RC 보에 대하여 폭발 실험을 수행하였고, 실험 구성은 Table 5와 같다. 콘크리트의 압축 강도는 55.5 MPa, 철근의 항복강도는 490 MPa이다. SDOF 해석을 위한 근거리 폭발하중의 이상화는 어려움이
많지만, 참고문헌에 제시된 바와 같이 25.95 MPa의 최대 압력과 0.173 ms의 하중 지속 시간을 삼각형 형태로 이상화된 등분포하중으로 적용하였다.
Fig. 6은 기둥 중앙부의 시간에 따른 변위를 실험에서 측정한 값과 Yang et al. (2024)의 유한요소 해석 결과, SDOF 해석 결과를 각각 나타낸 것이다. 실험에 따른 측정된 기둥 중앙부의 최대 변위와 영구변위는 각각 14.5 mm,
13.1 mm이다. SDOF 해석 결과 최대 변위와 영구변위는 12.3 mm, 7.0 mm이고 실험값과의 차이는 18 %와 87 %이다. 최대 변위의
오차는 실험이 근접 폭발 조건에서 수행되었지만, SDOF 해석은 등분포하중으로 이상화하였기 때문에 발생한 것으로 판단된다. 또한, 해석의 이력모델은
콘크리트의 손상으로 인한 제하상태의 강성이 실제와 차이가 있어 최대변위 이후의 영역에서 실제 거동과 차이가 발생하였다. 한편, Yang et al. (2024) 따르면, 실험과정에서 LVDT가 느슨해지고 단부 지점의 변형으로 인해 실험의 영구변위가 크게 도출되었다고 분석하였다.
Fig. 6 Comparison of blast analysis for asymmetric sections
Table 4 RC column section data (Yang et al. 2024)
|
Boundary
condition
|
Type
|
Dimension
(mm)
|
Steel ratio
(%)
|
Length
(mm)
|
|
Pin-Pin
|
Rectangle
|
210 × 310
|
0.9
|
2,100
|
Table 5 Blast load data (Yang et al. 2024)
|
TNT mass (kg)
|
Scaled distance
(m/kg1/3)
|
Peak pressure
(MPa)
|
Impulse
(MPa-ms)
|
Axial stress
(MPa)
|
|
5
|
0.35
|
25.95
|
2.24
|
0
|
4. 철근 비대칭 배근에 따른 동적 응답 영향 분석
4.1 대칭, 비대칭 철근 배근에 따른 단면 해석
철근의 대칭, 비대칭 배근에 따른 단면 해석은 UFC 3-340-02(DOD 2008) 예제에 제시된 Fig. 7의 단면에 대해 수행하였다. 콘크리트의 압축 강도는 28 MPa, 철근의 인장 강도는 455 MPa이다. 단면 해석은 KDS 14 20 20(KCI 2022)에 제시된 식을 이용하여 공칭 축력과 모멘트를 계산하였다.
Fig. 8은 대칭, 비대칭 단면에 대한 P-M 상관곡선을 나타낸다. 비대칭 단면의 경우 지진과 같이 양방향 하중이 작용할 경우 대칭 단면보다 휨 모멘트 저항력이
감소하는 영역이 존재한다. 하지만, 폭발과 같은 일방향 하중이 작용하는 경우 비대칭 단면의 휨 모멘트 저항력이 증가하여 구조설계 측면에서 유리하다.
축력이 증가함에 따라 대칭 단면과 비대칭 단면의 휨 모멘트의 차이가 감소한다. 인장 지배 영역에서는 인장 측 철근이, 압축 지배 영역에서는 압축 측
철근이 많이 배치된 비대칭 단면이 설계에 유리함을 알 수 있다. 본 연구에서는 대칭 단면과 비대칭 단면의 20 % 휨 모멘트 차이가 발생하는 최대
축력의 10 % 축하중이 작용하는 경우에 대해 비대칭 단면이 폭발 응답에 미치는 영향을 분석한다.
Fig. 7 RC column example for blast analysis
Fig. 8 P-M diagram of RC column example
4.2 휨 저항력과 연성비의 역학적 관계
내폭 설계 지침서인 UFC 3-340-02(DOD 2008)은 변위 기반의 내폭 성능 평가 방식을 채택하고 있다. 이를 고려하여 휨 저항력 변화에 따른 동적 응답을 평가하기 위해 최대 변위와 연성비를 사용하였다.
저항력과 연성비의 역학적 관계는 직관적인 이해를 위해 동적 영향성을 고려하지 않고, 에너지 관점으로 도출하였다. 역학적 관계 도출을 위해 대칭 단면과
비대칭 단면의 강성이 동일하고, 이선형 저항함수로 가정하였다. Fig. 9(a)는 탄성 영역에서의 대칭 단면과 비대칭 단면의 내력을 나타낸다. 구조물의 변형에너지는 저항함수의 면적을 의미하며, 동일한 폭발 에너지가 가해졌을 때
대칭 단면과 비대칭 단면의 저항함수 면적이 동일해야 한다. 탄성 영역에서는 초기 강성이 동일하기 때문에 구조물의 최대 변위가 동일하며, 연성비 정의에
따라 식 (5a)가 성립한다. Fig. 9(b)는 소성 영역에서의 대칭 단면과 비대칭 단면의 내력을 나타내며, 각 단면의 에너지는 식 (5b)~(5c)와 같다. 에너지 평형에 의해 두 에너지가 동일해야 하며, 식 (5d)와 같이 연성비 관계식이 도출된다. 도출된 휨 저항력과 연성비의 역학적 관계식들을 정리하면, 탄성 영역에서는 두 연성비의 비율은 휨 저항력의 1차식
관계이며, 소성 영역에서는 두 연성비의 비율이 휨 저항력의 2차식 관계로 탄성 영역보다 소성 영역에서 휨 저항력에 의한 연성비의 변화가 크다.
여기서, $\mu_{asym}$는 비대칭 단면의 연성비, $\mu_{sym}$는 대칭 단면의 연성비, $R_{y}$는 휨 저항력의 비율, $y_{m}$는
최대 변위, $y_{e}$는 항복 변위, $E_{sym}$는 대칭 단면의 내적 에너지, $E_{asym}$는 비대칭 단면의 내적 에너지이다.
Fig. 9 Relationship of internal energy and resistance function
4.3 응답 차트에서의 휨 저항력 차이에 따른 연성비 비교
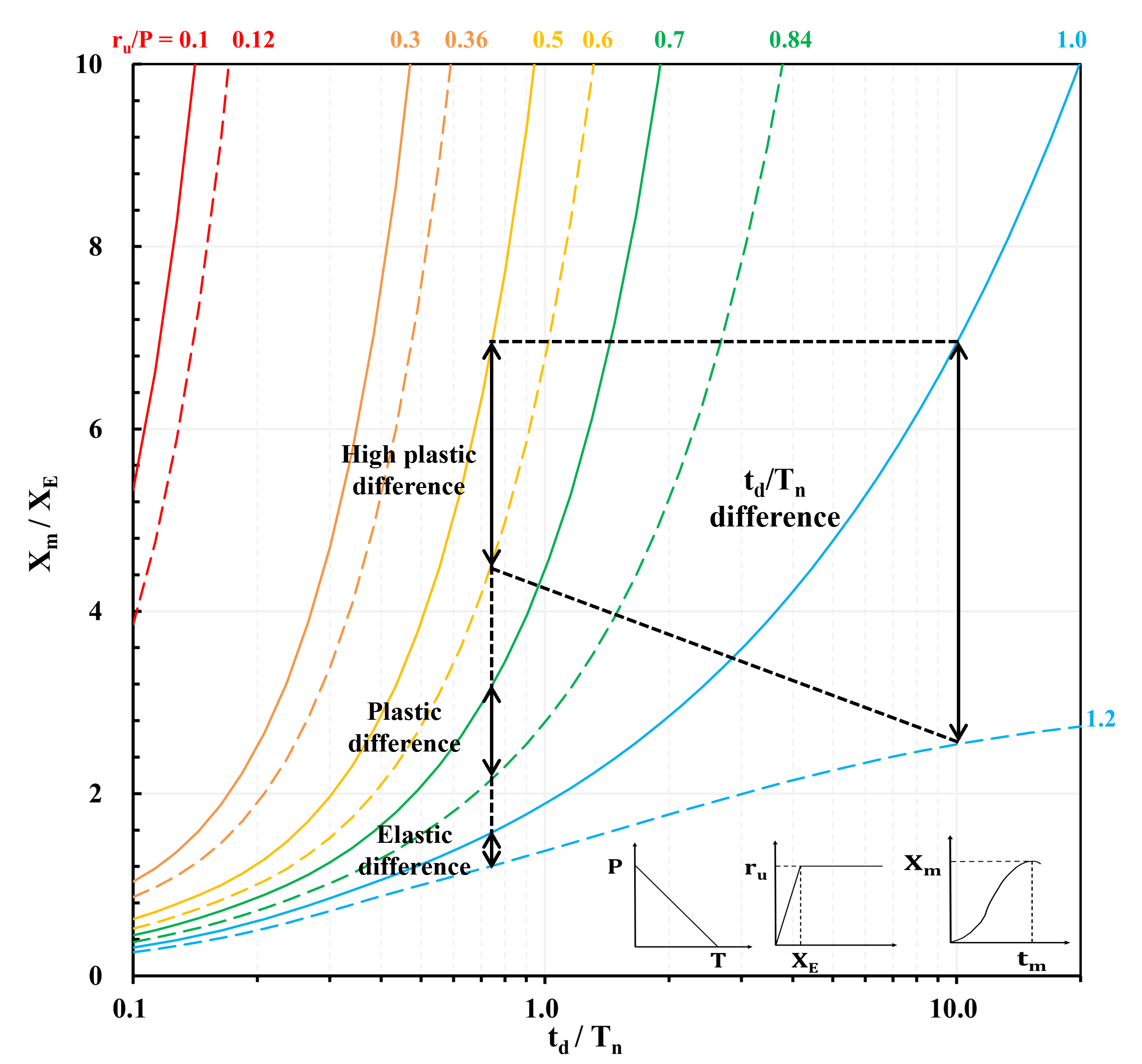
UFC 3-340-02(DOD 2008)은 SDOF 폭발해석에 대한 응답 차트를 제시한다. 응답 차트는 Fig. 10과 같이 이선형 저항함수의 가정을 기반으로 구조물의 고유주기와 폭발하중의 지속 시간 비($t_{d}/T_{n}$), 구조물의 휨 저항력과 폭발하중
크기 비($r_{u}/P$)를 산정하여 구조물의 연성비를 도출하는 차트이다. Fig. 7에 최대 축력의 10 % 축하중이 작용하는 부재는 Fig. 8과 같이 비대칭 단면이 대칭 단면보다 휨 저항력이 1.2배 크다. Fig. 10은 휨 저항력이 1.2배 차이날 때의 응답 차트를 보여준다. 응답 차트에서 실선은 대칭 단면을, 점선은 비대칭 단면을 나타낸다.
동일한 폭발하중이 작용할 때 소성 정도가 커질수록 연성비의 차이가 증가한다. 응답 차트를 통해 휨 저항력과 연성비 사이의 관계에서 동적 하중의 영향성을
확인할 수 있다. 구조물의 고유주기와 폭발하중의 지속 시간 비($t_{d}/T_{n}$)가 클수록 대칭 단면과 비대칭 단면의 연성비 차이가 커진다.
이는 정적 하중에 가까울수록 저항력 변화에 따른 연성비 차이가 커지는 것을 의미한다. Table 6은 응답 차트에서 휨 저항력이 1.2배 차이 나는 대칭 단면과 비대칭 단면의 연성비 변화율을 보여준다. 탄성 영역에서 연성비 변화율은 17 %이며,
소성 영역에서는 최대 58 %, 극소성 영역에서는 최대 67 %에 달한다. 이 결과는 철근의 비대칭 배근이 동적 응답을 감소시키며, 소성 정도가 클수록
동적 응답의 변화가 더 크다는 것을 보여준다.
Fig. 10 Response chart of shock wave pressure
Table 6 Ductility ratio differences by response chart
|
Elastic range
|
|
|
Impulsive Load
($t_{d}/T_{n}$≤0.5)
|
Dynamic load
(0.5<$t_{d}/T_{n}$< 5.0)
|
Quasi-static load
($t_{d}/T_{n}$≥ 5.0)
|
|
Ductility
difference (%)
|
17
|
17
|
17
|
|
Plastic range (1 < $μ$≤ 6)
|
|
|
Impulsive Load
($t_{d}/T_{n}$≤0.5)
|
Dynamic load
(0.5< $t_{d}/T_{n}$ < 5.0)
|
Quasi-static load
($t_{d}/T_{n}$ ≥5.0)
|
|
Ductility
difference (%)
|
28
|
42
|
58
|
|
High plastic range (6 <$μ$≤ 10)
|
|
|
Impulsive Load
($t_{d}/T_{n}$≤0.5)
|
Dynamic load
(0.5< $t_{d}/T_{n}$ < 5.0)
|
Quasi-static load
($t_{d}/T_{n}$ ≥5.0)
|
|
Ductility
difference (%)
|
31
|
48
|
67
|
4.4 철근 비대칭 배근에 따른 동적 응답 비교
철근 비대칭 배근에 의한 동적 응답을 비교하기 위해 본 연구에서 제시한 SDOF 해석 방법과 Fig. 7의 단면에 최대 축력의 10 % 축하중을 가력한 부재에 대해 최대 변위와 연성비를 비교하였다. 폭발하중은 UFC 3-340-02(DOD 2008) 예제의 하중 지속 시간 10.5 ms와 탄성, 소성, 극소성 영역에 해당하는 폭발 압력을 각각 350 kPa, 1,150 kPa, 1,500 kPa로
설정하여 폭발해석을 진행하였다.
비대칭 단면의 고유주기는 15.8 ms, 대칭 단면의 고유주기는 16.2 ms로 계산되었다. 두 고유주기의 차이는 질량은 동일하지만 비대칭 단면이
대칭 단면보다 중립축 기준으로 철근이 많이 배치되어 있어 강성이 크고, 이로 인해 비대칭 단면의 고유주기가 더 작게 도출된다. 대칭 단면을 기준으로
구조물의 고유주기와 폭발하중의 지속 시간 비($t_{d}/T_{n}$)는 0.6이며, 대칭 단면과 비대칭 단면의 항복 변위는 각각 8.4 mm, 8.5
mm이다.
Fig. 11은 소성 정도에 따른 대칭 단면과 비대칭 단면의 시간-변위 그래프이다. 탄성, 소성, 극소성 영역에서 대칭 단면과 비대칭 단면의 최대 변위 차이는
각각 14.3 %, 32.8 %, 36.2 %이다. 이는 비대칭 배근에 의한 휨 저항력 1.2배 증가가 소성 정도가 클수록 구조물의 저항 성능을 증가시키며,
36.2 %까지 내폭 성능을 향상시킨다는 것을 의미한다.
Table 7은 대칭 단면과 비대칭 단면의 소성 정도에 따른 최대 변위와 연성비 차이를 보여준다. 응답차트에서 구조물의 고유주기와 폭발하중의 지속 시간 비($t_{d}/T_{n}$)가
0.6일 때, 연성비 차이는 탄성, 소성, 극소성 영역에서 각각 17 %, 42 %, 48 %이다. 본 연구의 해석 결과와 응답차트는 경향성은 일치하나,
연성비 차이에는 오차가 존재한다. 이 오차는 저항함수의 차이에 기인한다. 응답 차트는 이상화된 이선형 함수를 사용하고, 본 연구에서는 저항함수의 감소까지
고려한 저항함수를 사용하여 결과적으로 더 작은 연성비 차이가 도출된다.
Fig. 11 Dynamic responses obtained by SDOF analysis
Table 7 Ductility ratios obtained by SDOF analysis
|
|
Max displacement
|
Ductility difference (%)
|
|
Symmetric section (mm)
|
Asymmetric section (mm)
|
|
Elastic range
($μ$ = 0.5)
|
4.2
|
3.6
|
14.9
|
|
Plastic range
($μ$ = 3.1)
|
26.2
|
17.6
|
33.4
|
|
High plastic range
($μ$ = 7.1)
|
60.0
|
38.3
|
36.8
|
5. 결 론
본 연구에서는 OpenSees 프로그램을 사용하여 축력과 폭발하중을 받는 비대칭 단면 철근콘크리트 부재의 SDOF 해석 절차를 제시하였으며, 철근
비대칭 배근이 철근콘크리트 기둥의 내폭 응답에 미치는 영향을 분석하였다.
축하중과 비대칭 단면을 고려한 SDOF 폭발해석은 두 단계로 수행되었다. 섬유단면 보 요소를 이용하여 하중 방향을 달리한 두 차례의 비선형 푸쉬오버
해석을 통해 비대칭 단면의 저항함수를 도출하였다. 비선형 푸쉬오버 해석에서 강도증가계수 및 동적증가계수를 이용하여 폭발하중에 대한 재료 특성 변화를
고려하였다. OpenSees의 hysteretic material model을 활용하여 비대칭 단면의 저항함수 이력 곡선을 모사하고, 철근콘크리트
단면의 강성 변화를 간접적으로 반영하였다. 변환 계수를 적용하여 등가 SDOF 시스템으로 변환 후 폭발해석을 수행하였다.
해석 방법의 정확도를 검증하기 위해 축력과 폭발하중을 받는 대칭, 비대칭 단면를 가진 보의 동적 응답을 실제 실험과 비교한 결과, 오차율이 7~15
%로 제안한 해석 방법이 유효함을 확인하였다.
UFC 3-340-02(DOD 2008) 예제 단면에 대해서 단면 해석을 한 결과 축력에 따라 대칭 단면과 비대칭 단면의 휨 모멘트 차이가 다르게 발생하였다. 최대 축력의 10 % 축하중이
가해진 경우 비대칭 단면의 휨 모멘트가 대칭 단면 대비 1.2배 증가하는 것으로 나타났다. 휨 저항력과 동적 응답의 역학적 관계를 분석한 결과, 탄성
영역에서는 휨 저항력과 연성비가 1차식 관계를 보였으며, 소성 영역에서는 2차식 관계를 형성함을 확인하였다. 이는 소성 정도가 클수록 휨 저항력 변화에
따른 동적 응답 차이가 더욱 커짐을 의미한다. 실제 폭발해석에서도 휨 저항력 1.2배 차이에 따라 소성 정도에 따른 동적 응답 차이가 증가하였으며,
최대 36.8 %까지 차이가 발생하는 것으로 분석되었다.
본 연구는 축력과 폭발하중을 받는 비대칭 배근의 철근콘크리트 부재에 대한 SDOF 해석 방법을 제시하고, 철근 배치만 변경한 비대칭 단면의 내폭 성능
효과를 분석하였다. 소성 변형이 커질수록 비대칭 단면의 내폭 성능이 향상된다는 점을 확인하여 비대칭 배근에 따른 내폭성능 향상 연구의 기초자료로 활용될
수 있다. 그러나, 본 연구는 하나의 단면과 제한적인 폭발하중 조건에서 수행되었다는 한계가 있으므로 다양한 변수에 따른 비대칭 단면과 폭발하중 조건에서
내폭 성능 변화를 종합적으로 규명하기 위한 추가 연구가 필요하다.
감사의 글
본 연구는 국토교통부/국토교통과학기술진흥원의 지원으로 수행되었음(과제번호 RS-2021-KA163162).
References
Angela, D. D., Magliulo, G., Celano, F., and Cosenza, C. (2021) Characterization of
Local and Global Capacity Criteria for Collapse Assessment of Code-Conforming RC Buildings.
Bulletin of Earthquake Engineering 19(9), 3701-3743.

ASCE (2010) Design of Blast-Resistant Buildings in Petrochemical Facilities. Reston,
VA; American Society of Civil Engineers (ASCE).

Biggs, J. M. (1964) Introduction to Structural Dynamics. New York: McGraw- Hill. 341.

Crisfield, M. A. (1981) A Fast Incremental/Iterative Solution Procedure that Handles
Snap-through. Computers & Structures 13(1-3), 55-62.

DOD (2008) Structures to Resist the Effects of Accidental Explosions (UFC 3-340-02).
Washington DC: U.S. Department of Defence (DOD).

Fang, C., Yosef, T. Y., Linzell, D. G., and Rasmussen, J. D. (2021) Residual Axial
Capacity Estimates for Bridge Columns Subjected to Combined Vehicle Collision and
Air Blast. Journal of Bridge Engineering 26(7), 04021035.

Geng, S., Wei, Y., and Wang, W. (2021) Dynamic Increase Factor of an Equivalent SDOF
Structural System for Beams with Different Support Conditions under Conventional Blast
Loading. Journal of Engineering Mechanics 147(4), 06021002.

KCI (2022) Concrete Structural Bending and Compression Design Standard (KDS 14 20
20). Sejong, Korea, Ministry of Land, Infrastructure and Transport (MOLIT), Korea
Concrete Institute (KCI). (In Korean)

Kyei, C., and Braimah, A. (2017) Effects of Transverse Reinforcement Spacing on the
Response of Reinforced Concrete Columns Subjected to Blast Loading. Engineering Structures
142, 148-164.

Lee, S. H., Kim, J. M., Kim, J., H., and Kim, K. S. (2024) ANN Model for Response
Correction of Structural Components Subjected to Near-Field Explosions Based on Single
Degree of Freedom Analysis. Journal of Korea Concrete Institute 36(5), 505-514. (In
Korean)

Liu, X., Gernay, T., Li, L. Z., and Lu, Z. D. (2021) Seismic Performance of Post-fire
Reinforced Concrete Beam-column Joints Strengthened with Steel Haunch System. Engineering
Structures 234, 111978.

Liu, Y., Yan, J. B., and Huang, F. L. (2018) Behavior of Reinforced Concrete Beams
and Columns Subjected to Blast Loading. Defence Technology 14(5), 550-559.

Low, H. Y., and Hao, H. (2002) Reliability Analysis of Direct Shear and Flexural Failure
Modes of RC Slabs under Explosive Loading. Engineering Structures 24(2), 189-198.

Mai, V. C., Luu, X. B., Dao, C. B., and Le, D. V. (2021) Investigate the Structural
Response of Ultra High Performance Concrete Column under the High Explosion. Defence
Science Journal 71(2), 256-264.

McKenna, F. T. (1997) Object-Oriented Finite Element Programming: Frameworks for Analysis,
Algorithms and Parallel Computing. Ph.D. Thesis. University of California.

Nickerson, J. M., Trasborg, P. A., Naito, C. J., Newberry, C. M., and Davidson, J.
S. (2015) Finite Element Assessment of Methods for Incorporating Axial Load Effects
into Blast Design SDOF Analyses of Precast Wall Panels. Journal of Performance of
Constructed Facilities 29(5), B4014006.

Popovics, S. (1973) A Numerical Approach to the Complete Stress-Strain Curve of Concrete.
Cement and Concrete Research 3(5), 583-589.

Thairy, H. A. (2016) A Modified Single Degree of Freedom Method for the Analysis of
Building Steel Columns Subjected to Explosion-Induced Blast Load. International Journal
of Impact Engineering 94, 120-133.

Woodson, S. C., and Baylot, J. T. (1999) Structural Collapse: Quarter-Scale Model
Experiments. Technical Report SL-99-8, US Army Engineer Research and Development Center,
Vicksburg, Mississippi (US).

Yang, F., Ke, Z., Feng, W., Li, X., Chen, S., and Li, H. (2024) Effects of Crumb Rubber
Particles on The Dynamic Response of Reinforced Concrete Beams Subjected to Blast
Loads. Engineering Structures 300, 117181.
